
Lactate monitoring could change endurance training as we know it (Photo: Emilija Milenkovic/Getty)
Back in 2021, cycling’s international governing body, the UCI, issued a new set of rules banning the use of devices measuring “any metabolic values such as but not limited to glucose or lactate” in competition. The rules were aimed at the emerging use of continuous glucose monitors in the peloton, but the mention of lactate sparked widespread curiosity. Did the UCI’s pre-emptive ban mean that convenient and non-invasive continuous lactate monitors were just around the corner?
In a word, no.
Lactate is a big deal in endurance sports these days. Once maligned as a muscle-burning byproduct of hard exercise—so-called “lactic acid”—it’s now viewed primarily as a sensitive gauge of how hard you’re pushing yourself. Venture too far beyond your lactate threshold, and the levels of lactate in your blood will start spiking, signaling imminent exhaustion. The rise of the new “Norwegian Method” training approach relies in part on using frequent lactate testing as a way of controlling workout intensity. But current measurement techniques require cumbersome, frequent, and mildly painful pin-prick blood tests.
The ability to keep tabs on lactate in real time would be a game-changer, both for Norwegian-style training and—the UCI apparently fears—for pacing races right at the edge of your capacities. Rumors of imminent continuous lactate monitors have been around for many years. Heck, I mentioned them in my 2018 book, Endure. Last year, Velo suggested that they were “poised to reshape pro cycling.” But so far they’ve remained, stubbornly, “just around the corner.”
So I was intrigued to see a new study in the European Journal of Sport Science showing real experimental data with a continuous lactate monitor detecting lactate threshold—in a swimmer, no less, meaning that it even worked underwater. It turns out that real-time lactate sensing is closer than I realized, from a technical point of view. Instead, the big questions are whether the market wants these devices, and whether the information they provide is actually useful. Here’s a look at where we currently stand.
The new study comes from Keio University School of Medicine in Japan, from a team led by Daisuke Nakashima, who also happens to be the CEO of Grace Imaging, the startup company developing the lactate sensor. Grace’s device detects lactate in sweat; that’s slightly different from continuous glucose monitors that sample the interstitial fluid found between cells. Sweat is easier to sample non-invasively, but (for reasons we’ll come back to below) is a little harder to analyze.
The study shows data from 24 subjects who completed a 15-minute incremental swim test in a flume (the swimming equivalent of a treadmill, where the speed of the water can be adjusted). Every two minutes, they paused to have their fingers pricked to measure lactate levels in the blood, to check whether the sweat values agreed.
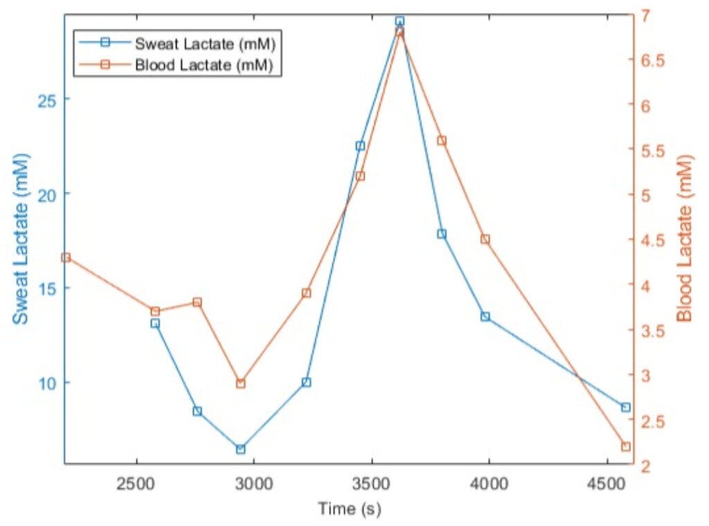
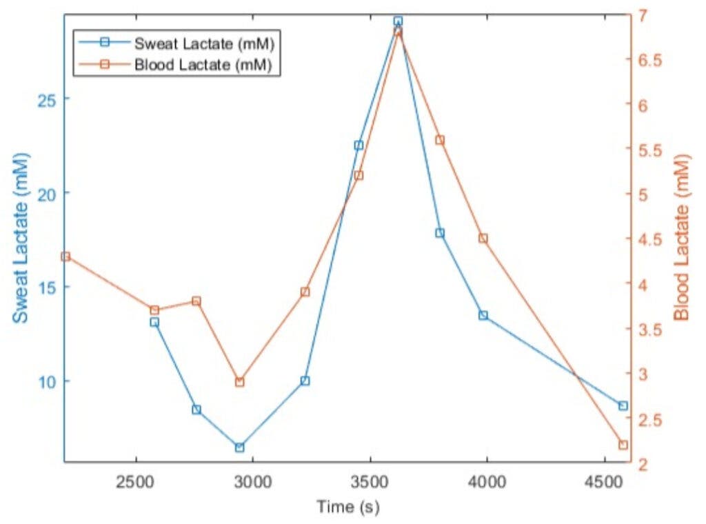
The sample result from one subject shows lactate levels that stay low for about 12 minutes, then begin climbing rapidly, indicating that the swimmer is now above his or her lactate threshold. The blood tests reveal a threshold at around the same place. These results echo the findings of a previous study using Grace Imaging’s device on runners.
Here’s the sample data from that previous study, with red dots showing blood lactate values and blue dots showing the sweat values from the continuous device:

The agreement looks pretty good! Note, though, that the values are plotted on different axes. The blood values, on the right axis, top out at between 4 and 5 mmol/L. The sweat values are expressed in microamps, reflecting the amount of electric current generated in the sensor, so the numbers aren’t comparable. Even if they were shown in the same units, lactate concentrations are very different in blood and sweat, so you can’t directly compare the numbers.
Grace Imaging’s website has links to various demos and presentations. They’re offering “Sweat Lactic Acid Measurement Clinics” to people who register for next year’s Saitama Marathon in Japan, for example, and the device is being trialed at a chain of Japanese gyms. But there’s no mention of impending commercial sales.
That’s mostly true for other companies that have announced their intention of building continuous lactate monitors. The French startup PKVitality, for example, even shows their lactate-measuring K’Watch on their website—but they stopped updating their social media pages in 2022, and emails to the media contacts on their website bounced.
The most likely to make it to market first is a Belgian company called IDRO. They also detect lactate in sweat, and like Grace Imaging they’ve demonstrated the ability to detect a sharp increase corresponding to lactate threshold. Last year, they ran a live demo in Budapest where a volunteer strapped on the device and ran in an incremental test with progressively harder three-minute stages, pausing for one minute each time to take a blood lactate test.
Here’s what the real-time data (in blue) and blood values (in red) looked like:

This time both values are shown in the same units, mmol of lactate per liter of fluid. You can see that the sweat values are highly sensitive: every time the runner stopped for a blood test, the real-time lactate levels plunged. This makes the data hard to interpret. But if you remove those blips, take representative values, and adjust the relative scale, you get something more encouraging:

I checked in with Kevin van Hoovels, a sports scientist with IDRO and former Olympic mountain biker. He was cautiously optimistic about the company’s prospects. The sensor technology is “mature and robust,” he said, so their current focus is scaling up manufacturing. He expects them to start selling the devices in the first quarter of 2025, initially to teams and labs who will then provide the service to their athletes.
Both IDRO and Grace aim to analyze lactate levels in sweat. But the relationship between sweat lactate and blood lactate—which is what athletes are used to dealing with—is far from straightforward. For example, the lactate levels in sweat may depend on how much you’re sweating. That means that the relationship between sweat lactate and blood lactate may change depending on how hard you’re exercising, how long you’ve been going, or even how hot it is. That suggests that sweat lactate sensors may be useful for knowing whether you’re above or below lactate threshold, but less reliable for measuring the actual concentration of lactate in your blood.
An alternative approach is to sample lactate in interstitial fluid, which mirrors blood levels more reliably, using a slender filament that pokes through the skin. That’s the approach that current continuous glucose monitors use, and several big companies are racing to adapt their CGMs to measure lactate, too. Illinois-based Abbott has been musing for several years about adding lactate to their devices, and there are rumors that Dexcom, of California, is doing the same.
Some of the most intriguing publicly available data comes from a California-based start-up called PercuSense. In July, researchers in Australia published a feasibility study using an experimental prototype of PercuSense’s combined glucose-lactate sensor in the Journal of Diabetes Science and Technology. Sample data taken during exercise looks good, with an impressive match not just in the shape of the curve but in the actual lactate values compared to blood measurements (shown as circles):

Another emerging California-based biosensor company, Biolinq, uses an array of smaller microneedles just below the skin that are even less invasive than current CGMs. It too is measuring both glucose and lactate levels. One of the scientists working with Biolinq is Iñigo San Millan, a professor at the University of Colorado School of Medicine and the director of performance for both Team UAE Emirates Cycling Team and the soccer team Athletic Club of Bilbao. San Millan has been trialing the Biolinq device with Athletic Club players both in the lab and on the field, and is encouraged with the results so far.
At this point, it’s probably worth noting that Supersapiens, the company whose continuous glucose sensing app I wrote about a few times, ran out of money and shut down operations earlier this year. Their demise probably says more about the challenges of getting a medical device approved than it does about the public’s appetite for wearable tech—but it’s a reminder that building a working device is just the first step.
One of the big challenges for Supersapiens was making sense of a firehose of new data. No one knew exactly what, if anything, all the peaks and valleys in the glucose graph meant for non-diabetic athletes, or how to change them. IDRO and its rivals face the same challenge, as the sharply fluctuating sweat lactate data illustrates. “We definitely believe that continuous lactate sensing is useful for athletes,” van Hoovels told me, “however there is still a lot to be learned on interpretation of the data.”
San Millan is confident that interstitial fluid-based lactate data will prove to be more useful—and more easily interpreted—than both glucose data and sweat-based lactate data. In his view, interstitial lactate is ideal for monitoring intensity during training, and for pacing during competition. Which company makes it to market first remains to be seen, but San Millan figures it will be in 2025 or 2026. “It’s a race out there, and whoever gets there first will get a big prize,” he says. “But there’s still more engineering to do, and more testing… and more paperwork.”
Whether either the sweat or interstitial fluid approach can eventually deliver a product that will give actionable and user-friendly data to athletes at a price point that enough people are willing to pay is an open question. But the answer is getting closer. In the meantime, would-be Norwegian trainers will keep pricking their fingers or earlobes to dial in the right workout intensity—and the rest of us, for now, will keep going with our gut.
***
For more Sweat Science, join me on Threads and Facebook, sign up for the email newsletter, and check out my forthcoming book The Explorer’s Gene: Why We Seek Big Challenges, New Flavors, and the Blank Spots on the Map.