If you buy through our links, we may earn an affiliate commission. This supports our mission to get more people active and outside.Learn about Outside Online's affiliate link policy

Researchers found that breath holding before exercise boosts red blood cells (Photo: Matt Porteous / Getty)
If you could patent and sell the idea of holding your breath before exercise to boost performance, it would be a bestseller. Not because it works, necessarily—the jury is still out on that. But because the logic is so good, the physiology is so fascinating, and the technique is so simple.
Instead, without a commercial imperative behind it, the idea has been floating around for years with no clear answers about whether it really works or not. Now a study in the European Journal of Applied Physiology, from a team led by Yiannis Christoulas of Aristotle University of Thessaloniki in Greece, offers the most encouraging sign yet that breath-holding might function as a legal form of do-it-yourself blood doping to temporarily enhance your endurance.
The idea is based on the mammalian diving reflex, which is the suite of physiological responses that automatically takes over when you dunk your head underwater. In a whole bunch of different ways, your body switches into oxygen-conserving mode to make sure you don’t run out while you’re submerged. For example, your heart rate slows down, and blood-flow to your extremities ramps down.
Most relevant here is that your spleen stores an extra reserve of oxygen-carrying red blood cells. When you dive, your spleen contracts, squeezing these extra red blood cells out into general circulation. This is the bit that is “similar to blood doping interventions,” Christoulas and his colleagues explain: instead of giving yourself an IV with fresh red blood cells, you get them from your spleen. Previous experiments suggest that spleen contraction could boost hemoglobin levels and VO2 max by as much as 5 percent.
Nobody is suggesting that you should go freediving a few minutes before your next marathon. But you can elicit some aspects of the diving response simply by holding your breath; and you can ramp up the response by doing it with your face submerged in cold water. This is the idea that prompted a 2010 paper by researchers in France suggesting apnea—that is, breath-holding—as “a new training method in sport.”
Since then, there have been several attempts to harness the benefits of breath-holding for athletic gain, with different activities (swimming, cycling) and protocols (single breath-holds, repeated breath-holds, various recovery durations). Earlier this year, Jan Bourgois and his colleagues at Ghent University in Belgium published an overview of these attempts in Experimental Physiology. The overall picture is that the physiology is real, but the practical effects seem to be too small to measure. Hard exercise makes your spleen contract anyway, so it may be that pre-contracting it with breath-holds doesn’t offer any additional benefit.
Christoulas’s new study takes a different view, which is that previous studies haven’t gotten the protocol quite right. In particular, the failed studies have asked athletes to hold their breath, but haven’t dunked their faces in water, so they didn’t fully contract their spleens. The new study had 17 volunteers complete an incremental cycling test to exhaustion, lasting roughly ten minutes, with and without a series of five maximal breath-holds with face submerged in water at 50 degrees Fahrenheit. They took two minutes recovery between each breath-hold and then started the cycling test two minutes after the final hold.
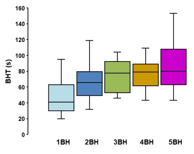
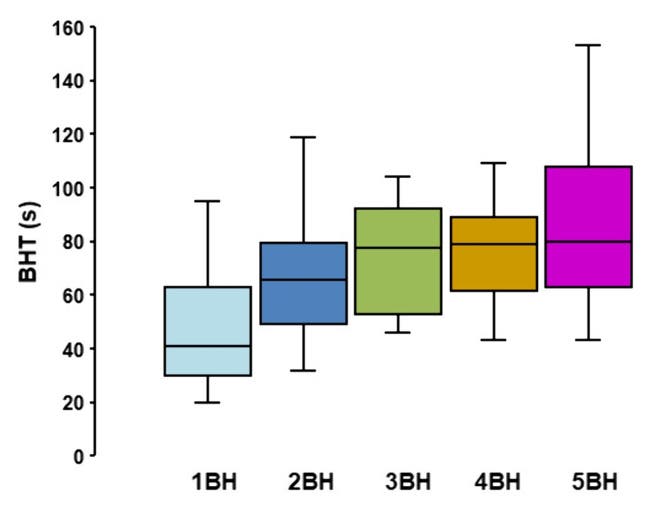
The subjects were recreational athletes with no training in freediving or breath-holding. Their average breath-hold time was 71 seconds—though it’s interesting to note that the duration of each successive hold got longer. The first hold averaged just over 40 seconds; the second one was over 60 seconds; the last couple averaged close to 80 seconds. Here are the average breath-hold times (BHT), plus and minus standard deviations, for the five holds:

This progression is partly a result of the spleen’s extra red blood cells in action. Sure enough, blood tests showed that hemoglobin and red blood cell count were both up by 4 percent by the end of the last breath-hold.
The key performance result was that the subjects lasted, on average, 0.75 percent longer in the cycling test after the breath-holds, which was a small but statistically significant difference. It also took longer before they hit the second ventilatory threshold, which is the point when your breathing gets really labored.
It’s worth noting that there are several other mechanisms that might play a role in addition to spleen contraction. Breath-holding raises levels of carbon dioxide in the blood, which in turn (through a mechanism called the Bohr effect) makes it easier for your muscles to unload oxygen from circulating red blood cells. This boosts your aerobic metabolism, and helps explain why the blood tests also showed that resting lactate levels dropped by 15 percent after the breath-holds. The full physiological picture gets quite complicated, but the bottom line is that the subjects in the new study had better—slightly better—endurance.
What does this mean in practice? Personally, I can’t imagine completing a set of five maximal breath-holds two minutes before a race. But some researchers have suggested that a single hold should be enough to get most of the benefits. If you look back at that graph of breath-hold times, it does appear that the biggest change occurs after the first bout, and there are fewer changes after the second one. Maybe two breath-holds a few minutes before competition is feasible.
The other big question is whether a good, hard warm-up accomplishes the same thing. In the new study, all subjects did a ten-minute warm-up that included jogging and “dynamic whole-body stretches.” But it’s possible that a longer and harder warm-up might trigger spleen contraction on its own. These are questions that future studies will have to answer—and I hope they do, one way or the other, because it’s refreshing to consider a weird and wonderful source of potential “marginal gains” that, for a change, is free for everyone.
For more Sweat Science, join me on Threads and Facebook, sign up for the email newsletter, and check out my forthcoming book The Explorer’s Gene: Why We Seek Big Challenges, New Flavors, and the Blank Spots on the Map.