If you buy through our links, we may earn an affiliate commission. This supports our mission to get more people active and outside.Learn about Outside Online's affiliate link policy

The idea that you can improve running economy simply by smiling is remarkable.
When I ran my first marathon, I positioned my family and friends at crucial locations along the course with strict instructions to make me smile as I ran past. I still remember rounding a corner during the second half of the race and seeing my friend Shannon holding a huge sign reading “REMEMBER WHEN I BROUGHT YOU BURMESE FOOD AND THEN ATE IT?”
Years earlier, she had returned from a reporting trip in Washington, D.C., a ten-hour drive away, with an order of my favorite dish from my favorite restaurant on ice in the back seat. A friend mistakenly told her I was out of town, so Shannon scarfed it down herself—just before I returned her call. Her husband, Geoff, stood beside her along the marathon course with another sign that said “SHE’S SORRY!” My smile lasted for most of the next mile.
I’d concocted this harebrained scheme based on a series of studies by Samuele Marcora, a researcher at the University of Kent, which showed that you could make a reasonable estimate of how hard an effort felt by measuring the activation of smiling or frowning muscles in the face. Based on the “facial feedback hypothesis,” an idea that goes back to Charles Darwin, Marcora proposed that the relationship might also work in the opposite direction: A hard effort makes you frown, and, conversely, frowning might make an effort feel harder—and smiling might make it feel easier.
This idea leaped to mind earlier this year, when I was watching Nike’s Breaking2 marathon. As the race progressed—and, presumably, the physical and mental toll mounted—it was impossible to miss the bright, seemingly cheerful smile spreading across Eliud Kipchoge’s face every few minutes. Was Kipchoge actually enjoying this, Twitter commenters wondered? In fact, as Ed Caesar of Wired later reported, Kipchoge’s smiles were a deliberate tactic to relax and work through the escalating pain.
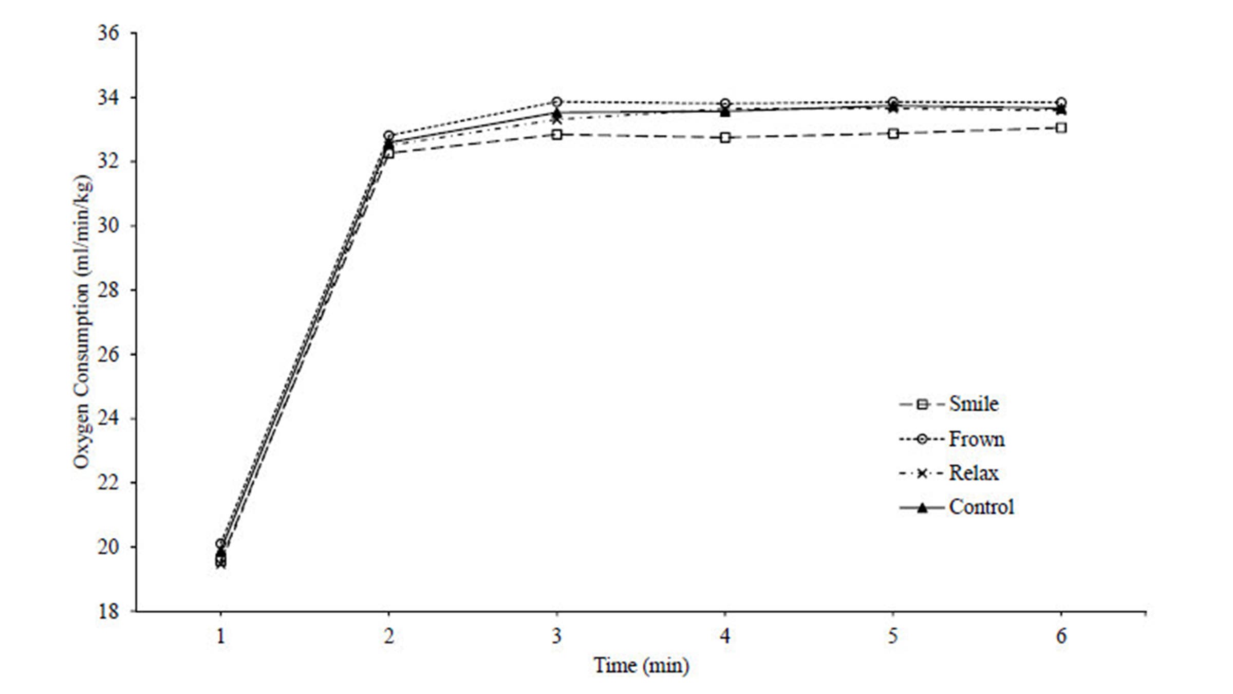
Did Kipchoge’s (and my) strategy actually make any difference? A new study in the journal Psychology of Sport and Exercise from Noel Brick and his colleagues at Ulster University explores precisely this question. They had 24 runners complete a series of four six-minute runs and measured their running economy (an efficiency metric based on how much oxygen you consume at a given pace), as well as perceptual outcomes, like effort. During the runs, the volunteers were instructed to smile, frown, relax their hands and upper body (by imagining, for example, that they were carrying potato chips between their thumb and forefingers without breaking them), or just think their usual thoughts.
The results more or less supported the benefits of smiling. Running economy was a little more than 2 percent better when smiling—an improvement that’s comparable to what you see in studies of weeks or months of plyometrics or heavy weight training. Here’s what the oxygen consumption looked like in the four conditions:

From the perspective of the hypothesis, it’s a little surprising that running economy wasn’t significantly worse in the frowning condition. On the other hand, perceived effort was significantly higher in the frowning condition compared to the others. Marcora would argue that the increase in effort is at least as significant for performance as a decline in running economy. Effort, after all, is what dictates if you decide to speed up or slow down.
There are some interesting subtleties in the results. Ten of the 13 male volunteers had improved running economy when smiling; only four of the 11 female volunteers did. Brick cites previous research showing that effort perception can be altered in the presence of an opposite-sex experimenter: Men, for example, claim that everything is easy when the scientist who’s asking is a woman. Similarly, he suggests, “a male experimenter requesting female participants to smile in an unfamiliar social setting may, inadvertently, have invoked concerns over self-presentation and self-image.” (I’ve met Brick and can attest that he is, indeed, a handsome fellow.) At any rate, repeating the study with a female experimenter is one of the authors’ suggestions for future work.

On a related note, the effectiveness of smiling may depend on producing a “real” smile—or, as it’s referred to in the literature, a “Duchenne smile,” which involves “symmetrical activation of the zygomaticus major and activation of the orbicularis oculi muscles.” In layman’s terms, that means smiling with the eyes and cheeks as well as the mouth, which is what the volunteers were instructed to do.
That’s easier said than done, Brick concedes, especially when you’re trying to sustain it for six whole minutes. A better approach may be to emulate what Kipchoge did in the Berlin marathon a few weeks ago. Brick’s assessment is that Kipchoge starting smiling about once or twice a mile during the final four or five miles of the race, holding the smile for about 30 seconds at a time. “That idea of periodic smiling seems more realistic to me,” he says, “but I guess we just don’t know if that is sufficient.”
Of course, producing any sort of smile in the final miles of a marathon can be a daunting challenge. By the time Kipchoge finally started to drift off the two-hour pace late in the Breaking2 race, his smiles were starting to look a lot more like grimaces. And that’s what I found in my marathon adventure. As hard as my wife and parents tried to make me smile after the 35K mark, the pictures suggest less activation of the zygomaticus major and more of the sphincter.
Still, the idea that you can improve running economy—a trait that’s notoriously difficult to improve by “fixing” your running form—simply by smiling is remarkable. The most likely explanation is that smiling primes a more relaxed emotional state, in turn reducing sympathetic nervous system activity (which can influence heart rate) and muscle tension, allowing you to run more efficiently. There’s lots more research needed to confirm that idea, but for now, it’s a pretty low-risk intervention to try. Maybe someone will even smile back.
For more Sweat Science, join me on Threads and Facebook, sign up for the email newsletter, and check out my book Endure: Mind, Body, and the Curiously Elastic Limits of Human Performance.